英国365上市(集团)有限公司-Official website
English
首页
English
关于我们
英国365上市公司简介
内设机构
现任领导
历任领导
常设委员会
团队建设
学科概况
省重点学科
精品课程
品牌专业
团队队伍
测井信息工程系
固体地球物理系
数据科学系
地球物理勘探系
教师风采
本科教育
课程建设
专著教材
规章制度
教学成果
通知公告
专业介绍
培养方案
实验平台
学科竞赛
资料下载
联系我们
研究生教育
招生简章
导师简介
培养方案
通知动态
研究平台
联系我们
资料下载
科学研究
科普工作
科研平台
研究成果
创新团队
政策文件
学术委员
实验平台
实验室概况
教育部重点实验室
CNPC重点实验室
工程物理研究中心
教学实验室
重点实验室
党群动态
人才招聘
员工之家
简介
员工名录
员工风采
员工动态
图映岁月
捐赠动态
通知公告
当前位置:
首页
> 正文
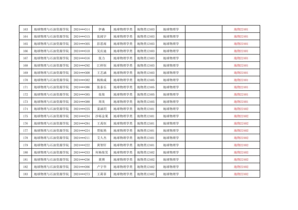
2024级大类专业分流员工名单公示
发布日期:2025-04-10
浏览:次
上一篇:
英国365上市公司“本硕博贯通培养拔尖创新人才计划”选拔名单公示
下一篇:
巡 察 公 告
友情链接: